天衢新区公布“三秋”生产服务热线电话 | 德州云-德州晚报全媒体

最近
阶段性集中降水、持续阴雨天气
给秋粮收获、晾晒、存储造成影响
眼下正值“三秋”生产关键期
为守住粮食丰收成果
天衢新区公布“三秋”生产服务联系电话
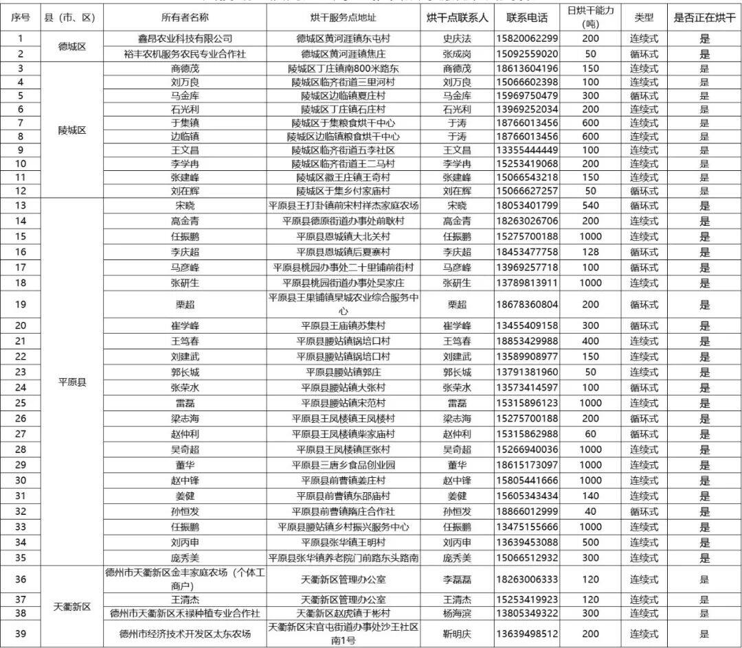
及周边粮食烘干服务点地址电话

详情如下

↓↓↓


天衢新区“三秋”生产服务联系电话

识别二维码查看

图片

图片

天衢新区及周边县市区粮食烘干服务点明细表

识别二维码查看

图片

图片